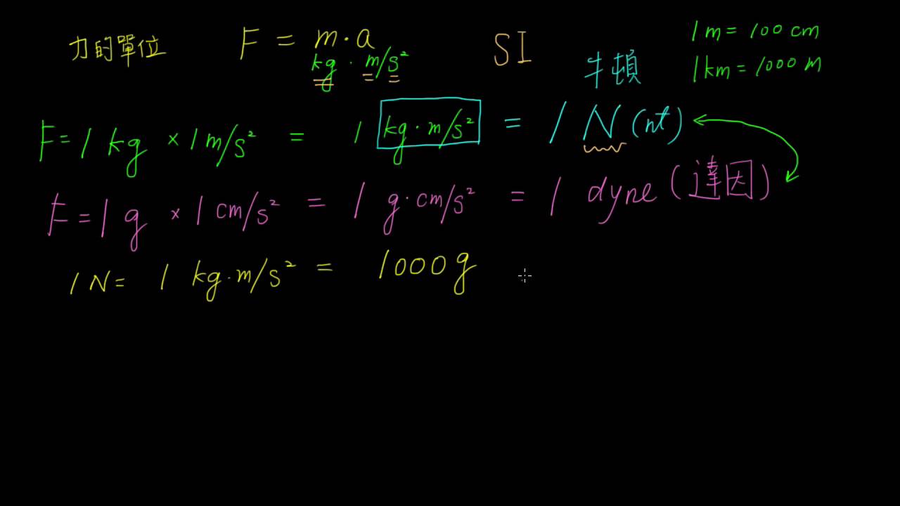
載入中... 相關課程 Back 3-2觀念04力的單位 牛頓、達因、公斤重、公克重 相關課程 0 / 750 登入觀看 ⇐ Use this menu to view and help create subtitles for this video in many different languages. You'll probably want to hide YouTube's captions if using these subtitles. 3-2觀念04力的單位 牛頓、達因、公斤重、公克重 上傳學習單 下載學習單